第一章 社会主义基本经济制度
一、内涵
内涵:公有主体 …
所有制结构(核心地位)➡️收入分配制度➡️资源配置方式
二、所有制结构
公有制(主体地位):
全民所有制(国有经济·主导地位)--生产资料公有制
集体所有制(农村集体经济、城镇集体所有制、股份合作制)--生产资料公有制
混合所有制经济的国有成分和集体成分
非公有制经济
个体经济
私营经济(个体和私营区分是否存在雇佣劳动关系)
外资经济(外商独资、中外合资、中外合作经营)
混合所有制的非公有成分
坚持农村基本经营制度
坚持农村土地集体所有(基础)
坚持联产承包经营的基础性地位
坚持稳定土地承包关系
三、收入分配制度
按劳主体 多种并存
1、巩固公有制主体地位
2、增加劳动报酬在初次分配中的比重,推动居民收入增长
3、完善按要素分配制度,多渠道增加城乡居民财产性收入
4、加大税收、社会保障、转移支付等手段的再分配调节力度。重视发挥第三次分配的作用,发展慈善等社会公益事业。
四、市场经济体制
资源
狭义:自然资源、广义:生产要素
资源配置
对所拥有资源在不同用途之间的分配
资源配置分类
市场(起决定性作用)、政府
社会主义市场经济体制
基础:经济制度
有效市场+有为政府
第二章 需求、供给余均衡价格
一、需求的含义及影响因素
需求的构成
购买欲望+支付能力 --我想我能
市场需求:消费者需求加总
影响需求因素
价格因素:产品自身价格(最重要因素·反相关)
非价格因素:消费者偏好、个人收入、预期 & 替代品价格、互补品价格、其他因素 --偏预收(同向)+替代互补(同替反补)
需求曲线

产品价格变动--需求数量变动(点动)
非价格因素变动--需求变动(线动)
市场需求曲线:个别消费者需求曲线水平加总
二、供给的含义及影响因素
供给的构成
生产意愿+生产能力
市场供给:生产者供给加总
影响供给因素
价格因素:产品自身价格(最重要因素·正相关)
非价格因素:生产成本、生产技术、预期 & 相关产品价格、其他因素
供给函数

产品价格变动--供给数量变动(点动)
非价格因素变动--供给变动(线动)
市场供给曲线:个别生产者供给曲线水平加总
三、均衡价格
形成
供=求,是偶然的、暂时的、相对的,是一只在变动的
均衡价格模型的运用
1、最高限价(短期或局部地区)
目的:低于均衡价格,保护买方利益
适用:价格涨幅过大,重要民生消费品
结论:供给短缺、买方排队、黑市高价、变相涨价
措施:配给制
2、最低限价(保护价格、支持价格;支持农业生产和稳定农民收入)
目的:高于均衡价格,保护卖方利益
适用:价格降幅过大,粮食等少数农产品
结论:供给过剩、黑市低价、变相降价
措施:政府的收购和储备系统
四、弹性
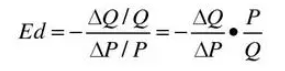
需求--价格弹性
需求的相对变动随价格的相对变动
点弹性(适合变动小)、弧弹性(适合变动大)

Ed=1 需求单一弹性
Ed>1 高弹性(薄利多销)
Ed<1 低弹性(高价多收)
需求价格弹性4个影响因素(多长高,大!)
需求交叉弹性
商品i的需求变化/商品j的价格变化(i商品的需求随j商品价格的变化情况)
Eij>0 替代品
Eij<0 互补品
Eij=0 无关
需求收入弹性
需求量的相对变动/收入的相对变动
Ey>1 高档品
0<Ey<1 必需品
Ey<0 低档品
恩格尔定律:收入增加,食物比例减小。
供给价格弹性
供给量相对变动/价格的相对变动
第三章 生产和成本理论
一、生产
生产者及组织形式
生产者包含企业或厂商
企业分为个人独资企业、合伙制企业和公司制
企业形成理论
企业本质:作为市场机制或价格机制的替代物
企业存在根本原因:节约交易成本
市场机制和企业交易费用不同的主要原因:信息的不完全性
生产要素
土地、资本投入、劳动投入、企业家才能…
长期(全部)可变+短期(部分)不变,可相互替代
生产函数
最大产量与投入要素之间的函数关系 ①以技术不变为前提②任何企业都有生产函数
短期生产函数:假设资产不变,总产量(Q)随劳动量(L)的变化曲线
边际等于0(L3),总产量最大;平均过边际(L2),相交(平均产量)最高点。

二、成本
成本和利润的含义
机会成本、生产成本(显成本、隐成本)
机会成本:放弃的最大收入
经济利润(超额利润)、正常利润
经济利润=收益-生产成本
正产利润:属于隐成本,包含企业家才能的报酬
成本函数
成本与产量之间的函数关系,包含短期成本函数(固定成本+可变成本)和长期成本函数(可变成本)
短期总成本=总固定成本+总可变成本
平均成本=平均固定成本+平均可变成本=总成本/总产量
边际成本=总成本的增加额/总产量的增加额=总可变成本的增加额/总产量的增加额
短期成本曲线

决定短期成本的主要因素
生产要素价格(同)、生产率(反)
第四章 市场结构理论
一、市场结构类型
市场结构含义和标准
含义:某产品或服务的竞争状态和竞争程度
划分标准依据:产品差别、数目、障碍
分为:完全竞争、垄断竞争、寡头垄断、完全垄断

二、完全竞争市场
市场、企业的需求曲线,企业的收益曲线

完全竞争行业的市场供给曲线S
完全竞争行业的市场需求曲线D

平均收益曲线和边际收益曲线: 平均收益=边际收益=价格(三线合一)
企业利润最大化决策点
边际成本=边际收益,此时产量为最优产量
企业停止生产临界点
市场价格=平均可变成本
企业短期供给曲线
处于平均可变成本之上的边际成本曲线

三、完全垄断市场
完全垄断市场的需求曲线

平均收益曲线与需求曲线重叠,表示销量与价格反相关;
边际收益曲线向右下方倾斜,且位于平均收益曲线的下方,表示在每一个销售量上厂商的边际收益都小于平均收益。
厂商的总收益曲线是先上升,达到最高点以后再下降。
供给曲线
完全垄断市场不存在供给曲线
价格决策要点
①价格在边际成本之上,控制供给量
②不可随意提价,考虑市场需求
③Ed小,价格高;Ed大,价格低
定价原则
边际成本=边际收益

价格歧视
一级:完全价格歧视(看人下菜碟)
二级:数量定价(批量作价)
三级:群体定价(不同Ed群体不同价格)
条件:可以划分多组购买者、相互隔离、同一产品不能再不同市场间流动
基本原则:不同市场的边际收益相等并等于边际成本
四、垄断竞争市场
需求曲线

比完全垄断平坦,(平缓度)更接近完全竞争;
分为主观需求曲线d和客观需求曲线D,主观更为平坦一些
供给曲线
垄断竞争市场不存在供给曲线
五、寡头垄断市场
需求曲线

供给曲线
寡头垄断市场不存在供给曲线
价格决策模型
①协议价格制 --卡特尔(共谋)
几个企业共谋,共同控制市场(不稳定,很少能控制整个市场,我国禁止)
②价格领袖制
某占支配地位企业先确定价格,其他企业参照制定,保持一致
 
                
评论